5DOF SELF‑LANDING ROCKET

Gain‑Scheduled LQR with Disturbance Observer • Dynamics
Rocket lander project overview

OVERVIEW

  • Built a 5DOF vertical landing simulator (roll excluded from control) with time‑varying mass & inertia, wind, and actuator limits.
  • Controller: gain‑scheduled LQR (table over mass & thrust) + disturbance observer (DOB) for lateral disturbance rejection.
  • Actuator/TVC modeling: 2nd‑order low‑pass dynamics and geometric projection of the thrust vector onto a feasible actuation surface.
  • Reference profile: 8‑phase ascent/descent to reach 50 m and achieve a soft, accurate landing within constraints.
  • Outcome: DOB notably improves robustness; succeeds where baseline LQR fails under strong wind with limited bandwidth.

MISSION SPECS

Altitude Goal Landing Zone Touchdown Speed Fuel Limit Thrust Window Sample Time
50 m ≤ 10 m diameter ≤ 0.3 m/s ≤ 40 kg 1100–2500 N 0.01 s

TRAJECTORY & REFERENCE DESIGN

Ascent
Ascent velocityvasc = 5.67 m/s
Ascent accelerationaacc = 0.83 m/s2
Ascent decelerationadec = 1.50 m/s2
Descent
Initial descent velocityvd1 = 7.22 m/s
Final descent velocity before landingvd2 = 3.00 m/s
Descent accelerationaacc,d = 1.28 m/s2
First descent decelerationadec1,d = 1.06 m/s2
Final descent decelerationadec2,d = 1.50 m/s2
Cruise distances in descent
Distance during cruise phase 1d5 = 6.25 m
Distance during cruise phase 2d7 = 0.00 m
Landing conditions
Landing speed0.300 m/s
Total flight time26.43 s
Total fuel used39.84 kg

The algorithm iteratively evaluates combinations of these parameters to identify feasible profiles that satisfy critical constraints: reaching the target altitude of 50 meters, maintaining acceptable thrust and fuel limits, and achieving a final landing speed below 0.3 m/s.

GAIN‑SCHEDULED DLQR

  • A 5DOF model was linearized around hover, and control gains were pre‑computed over a grid of mass (50–200 kg) × thrust (0.1–2500 N).
  • During flight, real‑time bilinear interpolation selects the appropriate feedback gain K(m, T).
  • The weighting matrices Q/R were tuned to balance vertical stability, landing accuracy, and fuel efficiency.
Control architecture diagram (gain scheduling)

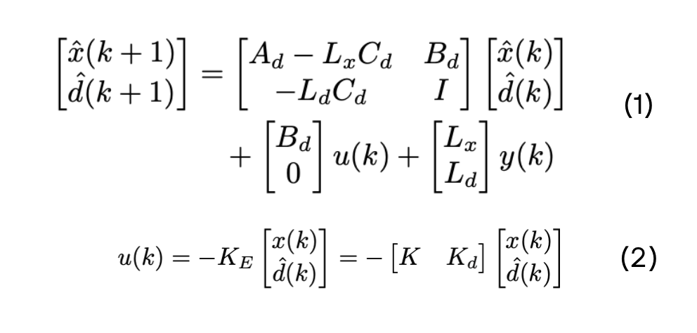
DISTURBANCE OBSERVER (DOB)

  • An augmented state observer estimates external lateral disturbances (), which are canceled via feed‑forward compensation (see Eqs. (1)).
  • Observer gains are selected by pole placement on the augmented model. The discrete dynamics use a first‑order approximation: Ad ≈ I + AΔt, Bd ≈ BΔt.
  • The overall control law integrates the DOB: (see Eqs. (2)), where Kd emphasizes lateral disturbance rejection.
DOB block diagram

ACTUATOR & TVC MODELING

Thrust vector projection and actuator dynamics
  • TVC bandwidth tested at 3 Hz and 4 Hz using a 2nd‑order low‑pass filter.
  • Desired thrust vector projected onto a tangent plane of a hemispherical constraint to simulate actuator feasibility.
  • Roll injected as a 0.25 rad, 1 rad/s oscillation to emulate imperfect roll control.
  • Rotating wind field at 0.2 Hz; Specific impulse 130 s; g=9.81 m/s²; dcn=0.67 m.

RESULTS

Summary Table

Scenario Fuel (kg) RMSE y (m) RMSE z (m) Max y‑z (m) Landing v (m/s)
3 Hz, moderate windN/AN/AN/AN/AN/A
3 Hz, moderate (DOB)27.560.130.060.22-0.31
4 Hz, moderate wind27.560.110.070.19-0.31
4 Hz, moderate (DOB)27.560.130.060.22-0.31
4 Hz, strong windN/AN/AN/AN/AN/A
4 Hz, strong (DOB)27.670.990.431.64-0.38

Figures

3 Hz moderate wind results 4 Hz moderate wind results 4 Hz strong wind results

SUMMARY & NEXT

  • Gain‑scheduled LQR + DOB improves landing robustness under wind and actuator limits; meets mission constraints.
  • Next: use field wind data; HIL or real‑time implementation; consider splitting controllers to cut compute cost.
  • Design and add the roll control systemto the rocket for complete 6 Dof rocket control.

GitHub Repo  •  Project Report (PDF)

ACKNOWLEDGMENT

This work was conducted as part of my contributions in our club. Learn more about the club here: Club Page.

← Back to projects